Hello to our website. You've arrived to the appropriate place to find information about Industrial alliance prior authorization form. The upcoming article will talk about Alliance authorized form fill out and sign printable pdf template, fillable online products prior authorization request form (page 1 of 2, form apssiiar download printable pdf or fill online authorization for, fillable industrial alliance prior authorization form printable pdf. Additionally, images supporting the previously mentioned Industrial alliance prior authorization form and a link to the article source are included in the article. Happy reading and enjoying.

FREE 53+ Authorization Forms In PDF MS Word Excel. Authorization form pdf pre forms excel ms word - View

FREE 53+ Authorization Forms In PDF MS Word Excel. Authorization form sample pre - Watch

11+ Printable Medical Authorization Forms PDF, DOC. Authorization medical form template prior printable pdf forms templates priorityhealth - Watch Now

Electronic Funds Transfer Authorization Agreement Alliance. Authorization forms - Download Now

Health Alliance Prior Authorization Form Fill Online, Printable. Alliance form authorization health prior pdffiller forms - Watch Now

24 Printable Identity Theft Affidavit Sample Letter Forms And Templates. Insurance form alliance industrial affidavit identity theft letter sample claim financial services pdffiller - Download

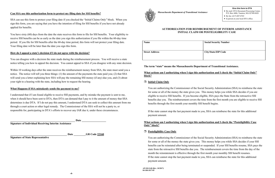
Form APSSIIAR Download Printable PDF Or Fill Online Authorization For. Iar massachusetts interim ssi reimbursement templateroller - Watch Now

FREE 10+ Sample Medicare Forms In PDF MS Word. Medicare form prior authorization sample forms pdf - Download

Alameda Alliance Authorization Form Fill Out And Sign Printable PDF. Alliance alameda authorization signnow pdffiller - Watch Now

FREE 53+ Authorization Forms In PDF MS Word Excel. Authorization form pre printable - Download

Fillable Online The Payment Details Have/has Been Faxed. UsingEnglish. Form alliance industrial pdffiller deposit annuity individual request - Watch

Fillable Online Products Prior Authorization Request Form (Page 1 Of 2. - Watch

Alliance Authorized Form Fill Out And Sign Printable PDF Template. Alameda authorization representative prior health protected signnow pdffiller - Download

24 Sample Authorization For Voluntary Payroll Deduction Form Free To. - View

FREE 11+ Sample Medical Claim Forms In PDF MS Word Excel. Claim medical form alliance sample industrial forms - Download

Sample Amerigroup Prior Authorization Form Sample Templates Sample. Authorization prior sample amerigroup form - Download
![]()
Fillable Industrial Alliance Prior Authorization Form Printable Pdf. Alliance industrial form juror pdf authorization prior - Watch

Fillable Online Alameda Alliance Prior Authorization Form Oakland. - View

Free PerformRX Prior (Rx) Authorization Form PDF EForms – Free. Authorization prior form pdf amerihealth eforms rx forms pennsylvania - Download
![]()
Top 16 United Healthcare Prior Authorization Form Templates Free To. Prior authorization united form healthcare medical pdf drugs - Download Now